Background: The treatment of non-Hodgkin lymphoma (NHL) with high tumor burden is facing severe challenges. The response rate and survival of R-CHOP treatment still need to be further explored in these patients. Pegylated liposomal doxorubicin (PLD) is a promising alternative drug to the current regimen, with a safety and efficacy profile through the enhanced permeability and retention effect and longer circulation1-3, and especially less cardiotoxic compared with traditional anthracyclines4. We conducted this prospective study to evaluate the efficacy and safety of PLD combined with R-COP (R-CDOP) regimen in treatment for previously untreated (TN) NHL with high tumor burden.
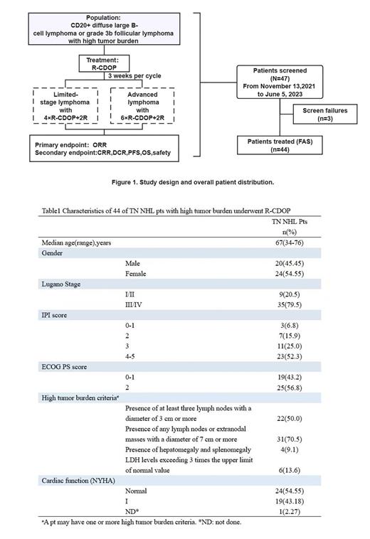
Methods: This study was a single-arm, multicenter, prospective clinical trial (NCT05040555). TN Patients with CD20+ diffuse large B-cell lymphoma or grade 3b follicular lymphoma with high tumor burden were recruited. Patients are considered to have high tumor burden if they meet at least one of the following criteria: (1) presence of at least three lymph nodes with a diameter of 3 cm or more; (2) presence of any lymph nodes or extranodal masses with a diameter of 7 cm or more; (3) presence of hepatomegaly and splenomegaly confirmed by PET-CT; Spleen: female > 15cm, male > 16cm); (4) presence of pleural and peritoneal effusions determined through cytological examination, flow cytometry, or diagnosed by PET-CT, (5) LDH levels exceeding 3 times the upper limit of normal value, and (6) PET-CT TMTV exceeding 220cm3. The patients received PLD (30-35mg/ m2, d1) plus Rituximab (375mg/m2, d0), Cyclophosphamide (750mg/ m2, d1), Vindesine (3mg/ m2, d1) / Vincristine (1.4mg/m2, d1) and Prednisone (60mg/ m2, d1-5) Q3W for 4 (Limited-stage lymphoma) or 6 (Advanced lymphoma) cycles with an additional 2 cycles of Rituximab therapy. The primary endpoints was objective response rate (ORR). The secondary endpoint were complete response rate (CRR), disease control rate (DCR), progression-free survival (PFS), overall survival (OS) and safety.
Results: At the data cut-off of 5 June 2023, 44 eligible pts were enrolled (Table 1). The ORR and CRR was 84.2% (32/38) [95%CI, 68.8%-94.0%] and 60.5% (23/38) [95%CI, 43.4-76.0%], respectively. The DCR was 89.5% (34/38) [95%CI, 75.2%-97.1%]. The median PFS was 14.4 months [95%CI, 4.7%-24.2%], and the median OS was not reached. The median PFS and OS will be updated after long-term follow-up. The most common grade 3/4 AEs were neutropenia (29.5%), leucopenia (25.0%) and anemia (11.4%). Left ventricular ejection fraction (LVEF) declined in 1(1/44, 2.3%) pt, but did not fall below 50%. Congestive heart failure was not occurred. Dose adjustment and treatment delay due to AE occurred in only one pt, and no treatment termination due to AE occurred except for 1 patient death.
Conclusions: The preliminary results of the study indicate that the R-CDOP regimen is safe and shows promising efficacy for treating TN NHL with a high tumor burden.
References:
1. Hashizume H, Baluk P, Morikawa S, et al. Openings between defective endothelial cells explain tumor vessel leakiness. Am J Pathol. 2000;156 (4):1363-1380
2. Gabizon A, Shmeeda H, Grenader T. Pharmacological basis of pegylated liposomal doxorubicin: impact on cancer therapy. Eur J Pharm Sci. 2012;45(4):388-398.
3. Sadzuka Y, Sugiyama I, Tsuruda T, et al. Characterization and cytotoxicity of mixed polyethyleneglycol modified liposomes containing doxorubicin. Int J Pharm. 2006;312(1-2):83-89.
4. Lu B, Shen L, Ma Y, et al. Cardiovascular adverse events associated with cyclophosphamide, pegylated liposomal doxorubicin, vincristine, and prednisone with or without rituximab ((R)-CDOP) in non-Hodgkin's lymphoma: A systematic review and meta-analysis. Front Pharmacol. 2022;13:1060668.
Disclosures
No relevant conflicts of interest to declare.

This feature is available to Subscribers Only
Sign In or Create an Account Close Modal